Výzkumy v ASU AV ČR (307): Vzácná dvojhvězda obrů a exotické typy horkých hvězd

Autor: Brankica Kubátová
Dvojhvězda BD+20 5391 se ukázala být mimořádně vzácným případem dvou červených obrů téměř totožné hmotnosti, kteří se vyvíjejí bok po boku. Nová studie vedená týmem z univerzity v Potsdami, na níž spolupracovali i odborníci ze Stelárního oddělení ASU, přináší detailní pohled na jejich fyzikální vlastnosti, oběžnou dráhu a budoucí vývoj. Výsledky naznačují, že z obou obrů brzy začne přetékat hmota do okolí, což může vést buď k jejich splynutí, nebo ke vzniku mimořádně těsné dvojice bílých trpaslíků. Každopádně půjde o jedinečný laboratorní případ vývoje dvojhvězd v pokročilých fázích života.
Většina hvězd, včetně těch podobných Slunci, není ve vesmíru osamocena, ale vyskytuje se ve dvojicích či násobnějších systémech. Interakce mezi složkami dvojhvězd má zásadní vliv na jejich vývoj i na konečný osud – v některých případech dokonce určuje, zda hvězda skončí jako klidný bílý trpaslík, nebo zda vývoj přeroste v dramatičtější scénář, jako je výbuch novy či dokonce supernovy. Podivnosti se dějí i u hvězd s malými hmotnostmi, kdy je simultánní vývoj zřejmě klíčový k pochopení vzniku celé řady exotických objektů, mezi které patří horké podtrpaslíky, héliové bílé trpaslíky či magnetické hvězdy.
Obzvláště zajímavé jsou případy, kdy obě složky dvojhvězdy současně dospějí do stadia červeného obra. Dvojití červení obři jsou extrémně vzácní, protože vyžadují, aby hvězdy měly téměř stejnou počáteční hmotnost a vyvíjely se stejným tempem. Pokud v této fázi začne hmota z obou hvězd přetékat přes hranici jejich gravitačního vlivu – takzvaný Rocheův lalok – může dojít k vytvoření společné obálky. Ta obě hvězdy na čas obklopí a jejich jádra se mohou přiblížit natolik, že buď splynou, nebo společně odhodí obálku a zůstanou jako dvojice těsných, odhalených jader.
Přímé pozorování takového systému je mimořádně obtížné. Právě proto přitáhl pozornost systém BD+20 5391, objevený při výzkumu červených obrů dvoumetrovým Perkovým dalekohledem ASU. Studie přijatá k publikaci v časopise Astronomy & Astrophysics představuje podrobný rozbor tohoto unikátního případu a naznačuje, že BD+20 5391 může být vzorovým příkladem dvojitého vývoje červených obrů – jevem, který dosud známe spíše z teoretických modelů než z reálných dat.
Dvojhvězda BD+20 5391 je složena ze dvou hvězd spektrální třídy K, tedy chladnějších červených obrů, které se nacházejí asi 500 parseků od Země. Jde o tzv. dvojitou spektroskopickou dvojhvězdu – obě hvězdy lze rozlišit díky tomu, že ve spektru světla z jejich systému se střídavě posouvají čáry každé složky v důsledku Dopplerova efektu. Díky těmto měřením bylo možné odvodit přesnou oběžnou dráhu i hmotnost obou složek.
Pozorování probíhala od roku 2020 do roku 2025 na observatoři ASU v Ondřejově, tato pozorování byla doplněna ještě vysokodisperzním spektrem získaným na Mercator Telescope na observatoři La Palma. Celkem bylo získáno 15 spekter, jejichž prvotní zpracování se nijak nevymykalo oborovým zvyklostem. Tím vznikl soubor velmi přesných měření radiálních rychlostí obou hvězd v závislosti na čase.
Z těchto dat vyplynulo, že hvězdy obíhají kolem společného těžiště s periodou přibližně 81 dnů po mírně eliptické dráze. Jejich hmotnosti jsou prakticky shodné – každá má asi 1,4 hmotnosti Slunce – a stejně tak i jejich teploty (kolem 4900 K), svítivosti i velikosti (asi pětinásobek slunečního poloměru). Jde tedy o „hvězdná dvojčata“, která se vyvíjejí zcela synchronně. Takové systémy jsou velmi vzácné: ve stávajících katalozích známých dvojhvězd byly dosud identifikovány jen jednotky podobných případů.
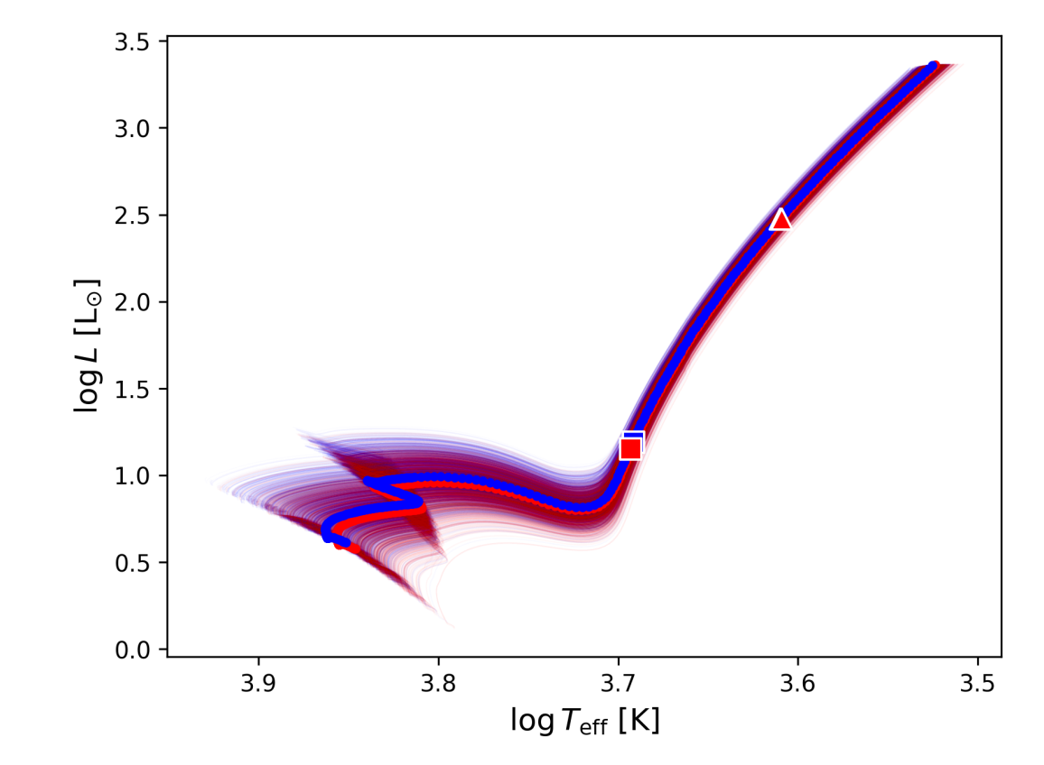
Další část výzkumu se zaměřila na určení přesného vývojového stadia obou hvězd. Pomocí srovnání s teoretickými modely hvězdného vývoje (tzv. MIST tracks) a Bayesovské analýzy vědci odhadli, že obě složky se nacházejí na počátku své cesty po větvi červených obrů, tedy v okamžiku, kdy se jejich vnitřní vodíková zásoba už téměř vyčerpala a začíná se formovat héliové jádro.
Numerické simulace ukázaly, že v příštích několika desítkách milionů let dojde k tomu, že obě hvězdy narostou natolik, až překročí hranici svého Rocheova laloku. V běžných binárních systémech dochází nejprve k přetékání hmoty z jedné hvězdy na druhou; zde se však kvůli téměř dokonalé symetrii hvězd tento proces spustí u obou hvězd téměř současně – s rozdílem jen asi 13 milionů let, což je v kosmickém měřítku zanedbatelné. Tím se jistě vytvoří společná obálka a hvězdná jádra se začnou spirálovitě přibližovat.
Následovat bude jeden z dvou možných scénářů. Jednak je možné, že obě hvězdy se budou ve společné obálce brzdit natolik, až se nakonec spojí, čímž vznikne jediný objekt s héliovým jádrem o hmotnosti přibližně 0,7 hmotnosti Slunce. Taková hvězda by mohla zažehnout hélium a stát se velmi horkým podtrpaslíkem – typem hvězdy, která má sice malé rozměry, ale je velmi horká a je mimo jiné zdrojem intenzivního ultrafialového záření. Tento proces by mohl vysvětlovat původ některých podtrpaslíků bohatých na hélium (He-sdO), o nichž se předpokládá, že vznikají právě splynutím dvou bílých trpaslíků. Zajímavé je, že některé z těchto objektů mají silná magnetická pole – a splynutí hvězd podobných BD+20 5391 by tak mohlo být přirozeným zdrojem těchto magnetických struktur.
Je ale také možné, že společnou činností obou hvězd bude společná obálka rozehnána do okolí. V tom případě by se vytvořila těsná dvojice dvou héliových bílých trpaslíků. Takový systém by měl velmi krátkou oběžnou dobu a mohl by být zdrojem gravitačních vln, které by v budoucnu mohly zachytit observatoře jako LISA. Pozorování podobných dvojic už existují, v současnosti je takových systémů známo asi deset a BD+20 5391 by se mohl stát jejich evolučním předchůdcem.
Ať už vývoj dopadne jakkoli, BD+20 5391 představuje jedinečný referenční systém pro ověřování modelů vývoje hvězd. Většina poznatků o fázích přetékání hmoty a společné obálky dosud pocházela jen z počítačových simulací; zde však máme konkrétní dvojhvězdu, u níž lze proces pozorovat téměř „v přímém přenosu“.
REFERENCE
M. Kurpas, M. Dorsch, S. Geier, B. Kubátová a kol., The twin red giant branch system BD+20 5391 A case study of low-mass double-core evolution, Astronomy & Astrophysics v tisku, preprint arXiv:2509.26132
KONTAKT
Dr. Brankica Kubátová
brankica.kubatova@asu.cas.cz
Stelární oddělení Astronomického ústavu AV ČR
Zdroje a doporučené odkazy:
[1] Stelární oddělení ASU AV ČR
Převzato: Astronomický ústav AV ČR, v. v. i.